Berikut ini materi lengkap tentang vektor mulai dari pengertian jenis jenis vektor di r2 r3 operasi vektor penjumlahan pengurangan perkalian proyeksi contoh soal dan pembahasan. Yuk kita beranjak ke perkalian vektor.
5 Contoh Soal Perkalian Silang Cross Product Dan Pembahasan
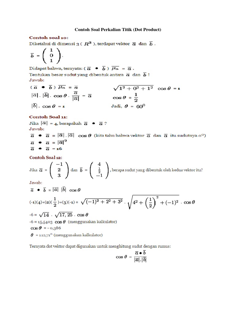
Contoh soal perkalian vektor. Besaran vektor bisa dikalikan dengan besaran vektor maupun besaran skalar. Contoh soal dan pembahasan tentang rumus pembagian garis. Contoh soal dan pembahasan tentang vektor posisi. Artikel ini membahas 3 jenis perkalian vektor yaitu perkalian vektor dengan skalar perkalian titik dan perkalian silang dilengkapi dengan contoh soal dan pembahasannya. Kamu akan diajak untuk memahami materi hingga metode menyelesaikan soal. Misal sobat punya nih vektor b yang merupakan.
Contoh soal vektor dan pembahasannya beserta jawabannya by azzahra rahmah posted on january 7 2020 rumuscoid pada kesempatan kali ini kita akan membahas mengenai contoh soal tentang vektor matematika untuk sd smp sma dan pada kesempatan sebelumnya kita juga telah membahas tentang soal olimpiade ipa sd tahun 2019 nah untuk saat ini materi lengkap tentang contoh soal mengenai vektor 2 dan. Ada 3 macam perkalian vektor. Memasuki abad 20 perkembangan ilmu pengetahuan dan teknologi sangatlah pesat. Contoh soal dan pembahasan tentang perkalian vektor. Contoh soal dan pembahasan tentang penjumlahan vektor. Berbagai piranti sederhana maupun elektronik telah berhasil dibuatuntuk memudahkan pekerjaan manusia.
Contoh soal dan pembahasan tentang panjang vektor. Kumpulan soal mudah sedang sukar. Perkalian skalar dengan vektor skalar bisa dikalikan dengan sebuah vektor. Nah pada kesempatan kali ini kita akan mempelajari beberapa contoh soal tentang perkalian titik. Vektor matematika pengertian materi rumus contoh soal by azzahra rahmah posted on december 9 2019 rumuscoid setelah sebelumnya kita membahas tentang rumus persamaan nilai mutlak kali ini kita akan membahas materi tentang rumus vektor matematika kita akan jabarkan secara detail dan lengkap dari pengertian jenis jenis operasi dan contoh soal beserta pembahasannya. Vektor pada bidang datar r2 dimensi dua vektor pada ruang dimensi 3 modulus vektor.
Contoh soal dan pembahasan tentang vektor. Perkalian vektor kemarin kita telah belajar tentang penjumlahan dan pengurangan vektor. Di sini kamu akan belajar tentang perkalian skalar dot product dua vektor melalui video yang dibawakan oleh bapak anton wardaya. Contoh soal dan pembahasan tentang sudut dua vektor. Perkalian vektor dengan skalar. Pengertian rumus operasi vektor contoh soal dalam materi kali ini kita akan membahas tentang rumus matematika vektor pengertian besaran vektor pengertian besaran skalar perkalian skalar dengan vektor sifat sifat skalar dengan vektor penjumlahan dan pengurangan vektor notasi vektor dan panjang vektor.
Perkalian vektor dibedakan menjadi tiga macam antara lain perkalian vektor dengan skalar perkalian titik dot product dan perkalian silang cross product.
















