Dan setiap garis garis yang sejajar dengan sumbu sumbu koordinat paling banyak hanya mempunyai dua titik potong dengan kurva. Untuk memberikan pemahaman kepada pembaca tentang materi tersebut berikut disajikan beberapa soal terkait terkhusus untuk integral lipat dua yaitu integral.
06 Integral Lipat Dua
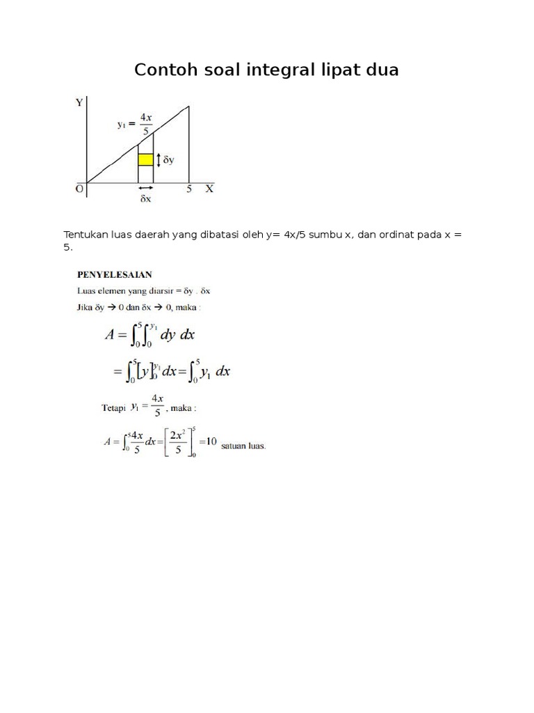
Contoh soal integral lipat dua. Integral berulang kadang juga dikenal sebagai integral ganda atau integral lipat adalah materi kalkulus lanjut yang dipelajari secara mendalam untuk menganalisis masalah luas dan volume baik pada bidang dua dimensi maupun tiga dimensi. Dalam hal ini yang akan dibahas adalah asal mula integral lipat dua. Sekian ulasan tentang integral lipat dua semoga sekarang anda telah memahami materi tentang integral lipat dua ini. Integral lipat dua pada daerah persegi panjang dan daerah sebarang. Contoh soal dan pembahasan integral lipat 2. Namun sebelum beranjak ke contoh soal ada baiknya kita sedikit ingat kembali tentang apa itu integal lipat dua serta cara menggunakannya.
Berikut ini adalah contoh soal beserta pembahasan nya. Hitung luas daerah yang dibatasi oleh x y 2 dan 2y x y. Rosi atmaja 85478 views. Pembahasan soal integral un sma 2018 duration. Luas dari suatu bidang dapat dipandang dengan sustu integral lipat dua jika fxy1 sehingga integral lipat dua menjadi. Pada kesempatan kali ini akan dibahas mengenai integral lipat dua.
Daerah di dalam bidang datar disebut daerah tertutup sederhana jika daerah. Contoh yang akan kita bahas adalah penerapan integral lipat dua dalam mencari sebuah volume v dan juga titik pusat massa. Kalkulus ii integral lipat dua malik abdul aziz. Dibatasi oleh kurva tertutup. Soal dan pembahasan integral lipat duadoc. Unsubscribe from malik abdul aziz.















